[TẶNG BẠN] TRỌN BỘ Bí kíp học tốt 08 môn
Chắc suất Đại học top - Giữ chỗ ngay!!
ĐĂNG BÀI NGAY để cùng trao đổi với các thành viên siêu nhiệt tình & dễ thương trên diễn đàn.
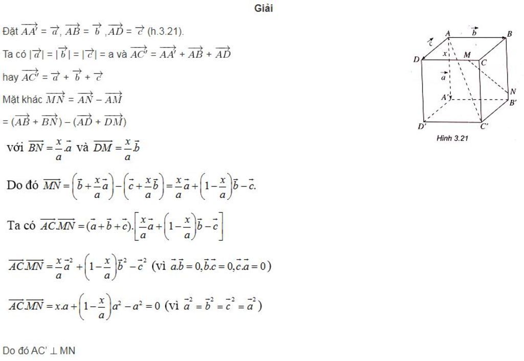
Cho hình lập phương ABCD. A'B'C'D'. Có cạnh bằng a . trên các cạnh DC và BB' ta lần lượt lấy các điểm M và N sao cho DM=BN=x với 0=hoặc < x=hoặc <a .. Chứng minh AC' vuông góc với MN. Áp dụng tích vô hướng vào tính độ dài đoạn thẳng
ĐÂY LÀ CÁCH GIẢI Ạ NHƯNG MÌNH K HIỂU LẮM
TẠI SAO [tex]\overrightarrow{BN}=\frac{x}{a}.\overrightarrow{a} \overrightarrow{DM}=\frac{x}{a}.\overrightarrow{b}[/tex] VẬY Ạ

ĐÂY LÀ CÁCH GIẢI Ạ NHƯNG MÌNH K HIỂU LẮM
TẠI SAO [tex]\overrightarrow{BN}=\frac{x}{a}.\overrightarrow{a} \overrightarrow{DM}=\frac{x}{a}.\overrightarrow{b}[/tex] VẬY Ạ

