[TẶNG BẠN] TRỌN BỘ Bí kíp học tốt 08 môn
Chắc suất Đại học top - Giữ chỗ ngay!!
ĐĂNG BÀI NGAY để cùng trao đổi với các thành viên siêu nhiệt tình & dễ thương trên diễn đàn.
Giúp em 3 ý này với ạ
Bài 4:
a. Cho $\dfrac1a+\dfrac1b+\dfrac1c=0$. Chứng minh rằng $(a+b+c)^2=a^2+b^2+c^2$
b. Tìm GTNN của biểu thức $M=2x^2-2x+3,5$
c. CMR nếu: $\dfrac1x+\dfrac1y+\dfrac1z=\dfrac1{x+y+z}$ thì $\dfrac1{x^{2011}}+\dfrac1{y^{2011}}+\dfrac1{z^{2011}}=\dfrac1{x^{2011}+y^{2011}+z^{2011}}$
Và check giúp e kết quả ý này là : $x-\dfrac12x$ hay $x+\dfrac12x$ với ạ
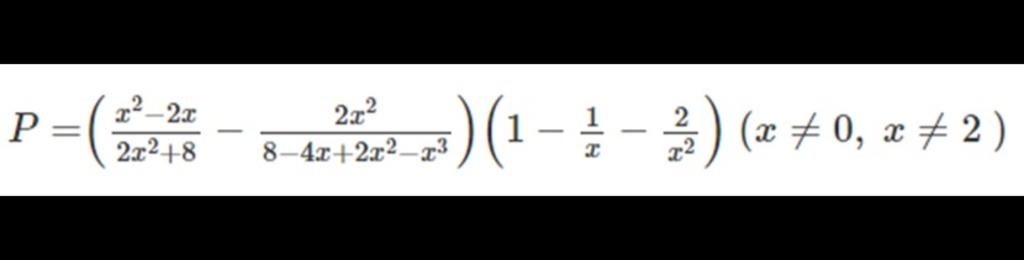
Rút gọn biểu thức: $P=\left(\dfrac{x^2-2x}{2x^2+8}-\dfrac{2x^2}{8-4x+2x^2-x^3}\right)\left(1-\dfrac1x-\dfrac2{x^2}\right)\qquad(x\neq0,x\neq2)$


Bài 4:
a. Cho $\dfrac1a+\dfrac1b+\dfrac1c=0$. Chứng minh rằng $(a+b+c)^2=a^2+b^2+c^2$
b. Tìm GTNN của biểu thức $M=2x^2-2x+3,5$
c. CMR nếu: $\dfrac1x+\dfrac1y+\dfrac1z=\dfrac1{x+y+z}$ thì $\dfrac1{x^{2011}}+\dfrac1{y^{2011}}+\dfrac1{z^{2011}}=\dfrac1{x^{2011}+y^{2011}+z^{2011}}$
Và check giúp e kết quả ý này là : $x-\dfrac12x$ hay $x+\dfrac12x$ với ạ
Rút gọn biểu thức: $P=\left(\dfrac{x^2-2x}{2x^2+8}-\dfrac{2x^2}{8-4x+2x^2-x^3}\right)\left(1-\dfrac1x-\dfrac2{x^2}\right)\qquad(x\neq0,x\neq2)$


Attachments
Last edited by a moderator: